模态框(Modal)标题

在这里添加一些文本

模态框(Modal)标题

  • 首页
  • 学报介绍
  • 下载中心
  • 过刊浏览
  • 联系我们

图/表 详细信息

融合图Transformer和Vina⁃GPU+的多模态虚拟筛选新方法
张豪, 张堃然, 阮晓东, 沐勇, 吴建盛
南京大学学报(自然科学版), 2025, 61(1): 83-93.   DOI: 10.13232/j.cnki.jnju.2025.01.008

图5 在Selleck数据库上虚拟筛选结果的比较
本文的其它图/表
  • 图1 Vina⁃GPU GT方法流程图
  • 图2 分子对接流程图
  • 图3 三种对接方法速度的比较
  • 图4 在DrugBank数据库上进行虚拟筛选结果的比较
  • 图6 在DrugBank数据库上虚拟筛选的得分比较
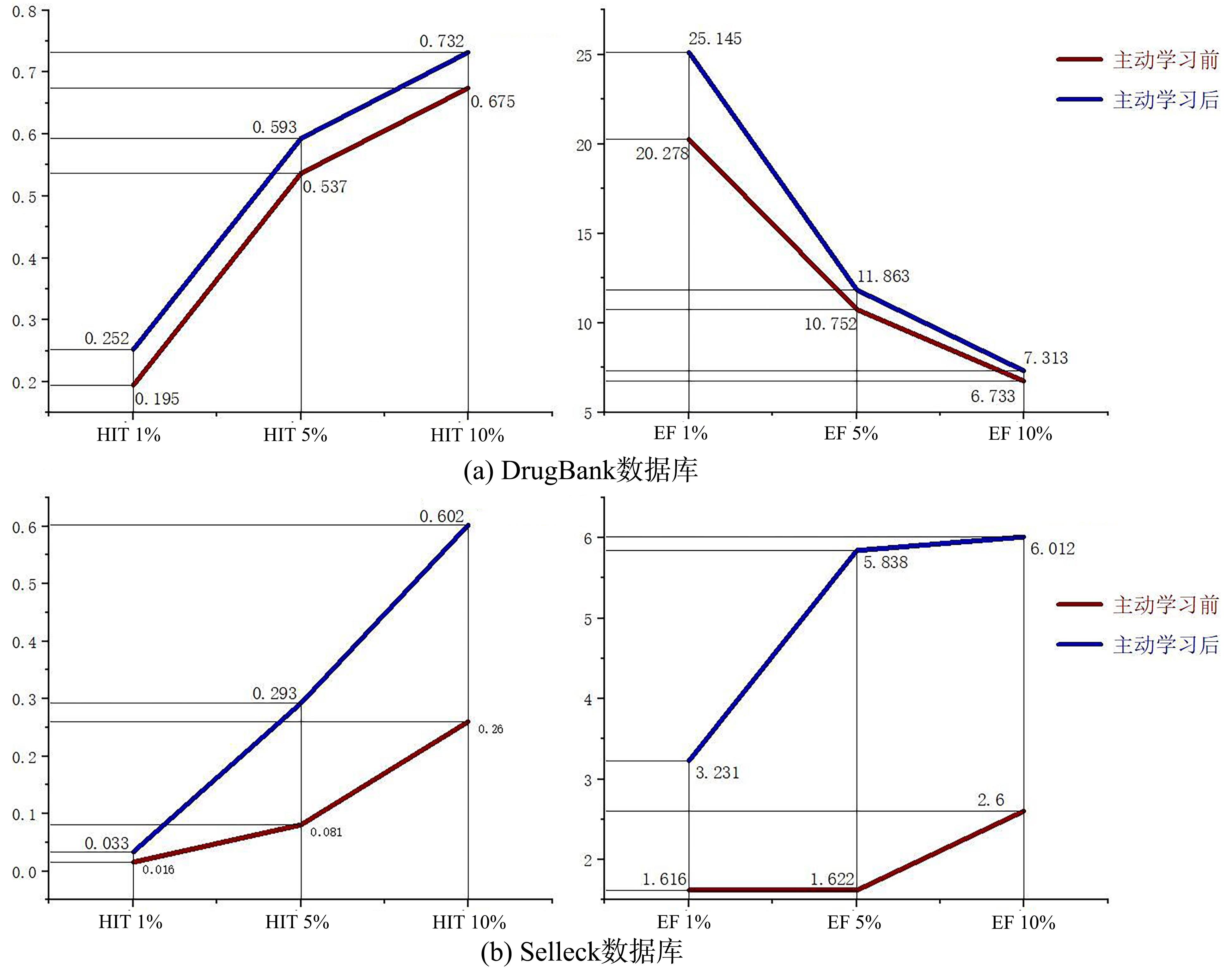
  • 图7 在DrugBank (a)和Selleck (b)数据库上RIPK1靶标经过主动学习前后的筛选结果的比较
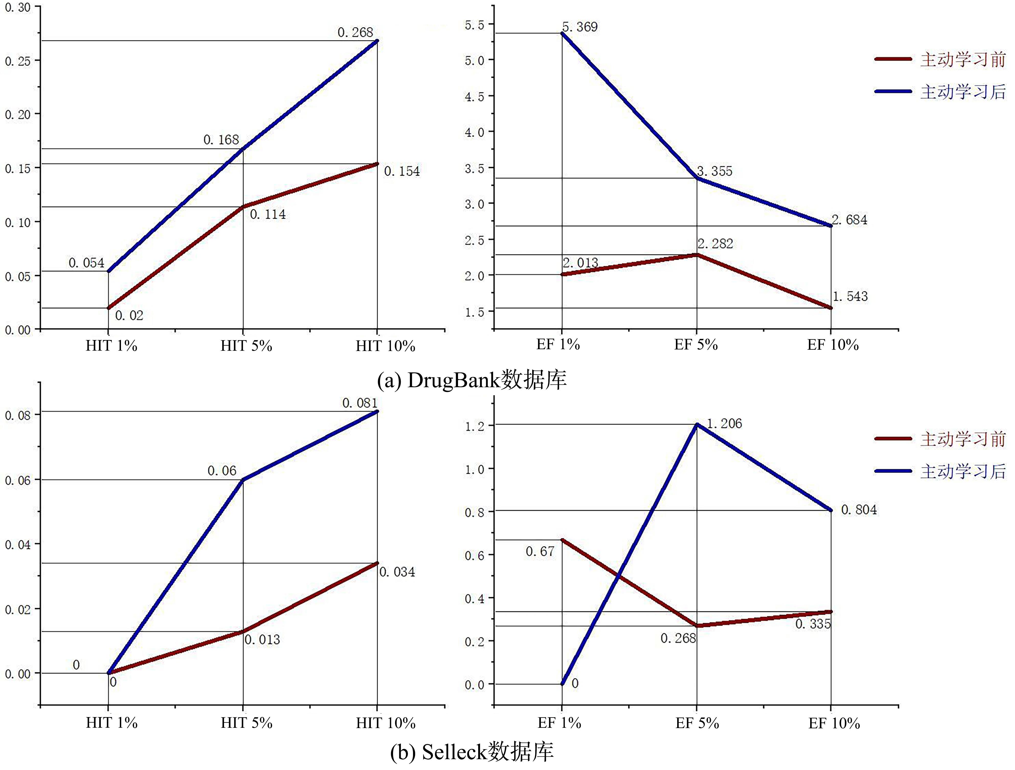
  • 图8 在DrugBank (a)和Selleck (b)数据库上RIPK3靶标经过主动学习前后筛选结果的比较
  • 图9 在DrugBank (a)和Selleck (b)数据库上AmpC β⁃lactamase靶标经过主动学习前后筛选结果的比较
版权所有 © 《南京大学学报(自然科学版)》编辑部
地址:江苏省南京市鼓楼区汉口路22号 
技术支持:北京玛格泰克科技发展有限公司