基于形式背景构建多分知识结构与个性化指导学习的方法 |
| 林宇静, 李进金, 陈惠琴 |
|
The method of constructing polytomous knowledge structure and personalized instruction learning based on formal context |
| Yujing Lin, Jinjin Li, Huiqin Chen |
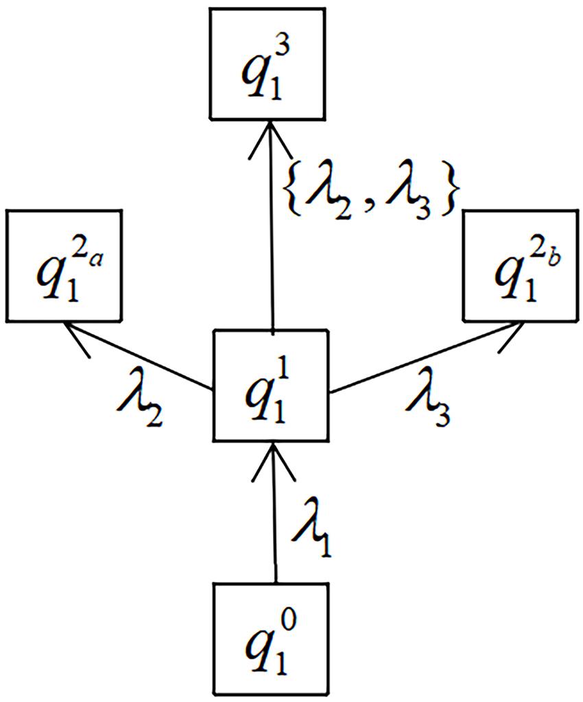
| 图1 |
| Fig.1 Item level transition diagram for |
|