数值天气预报模式的行星边界层方案热力预报变量选择 |
| 赵怡雪, 周博闻 |
|
On the choice of prognostic thermal variable in planetary boundary layer schemes for numerical weather prediction models |
| Yixue Zhao, Bowen Zhou |
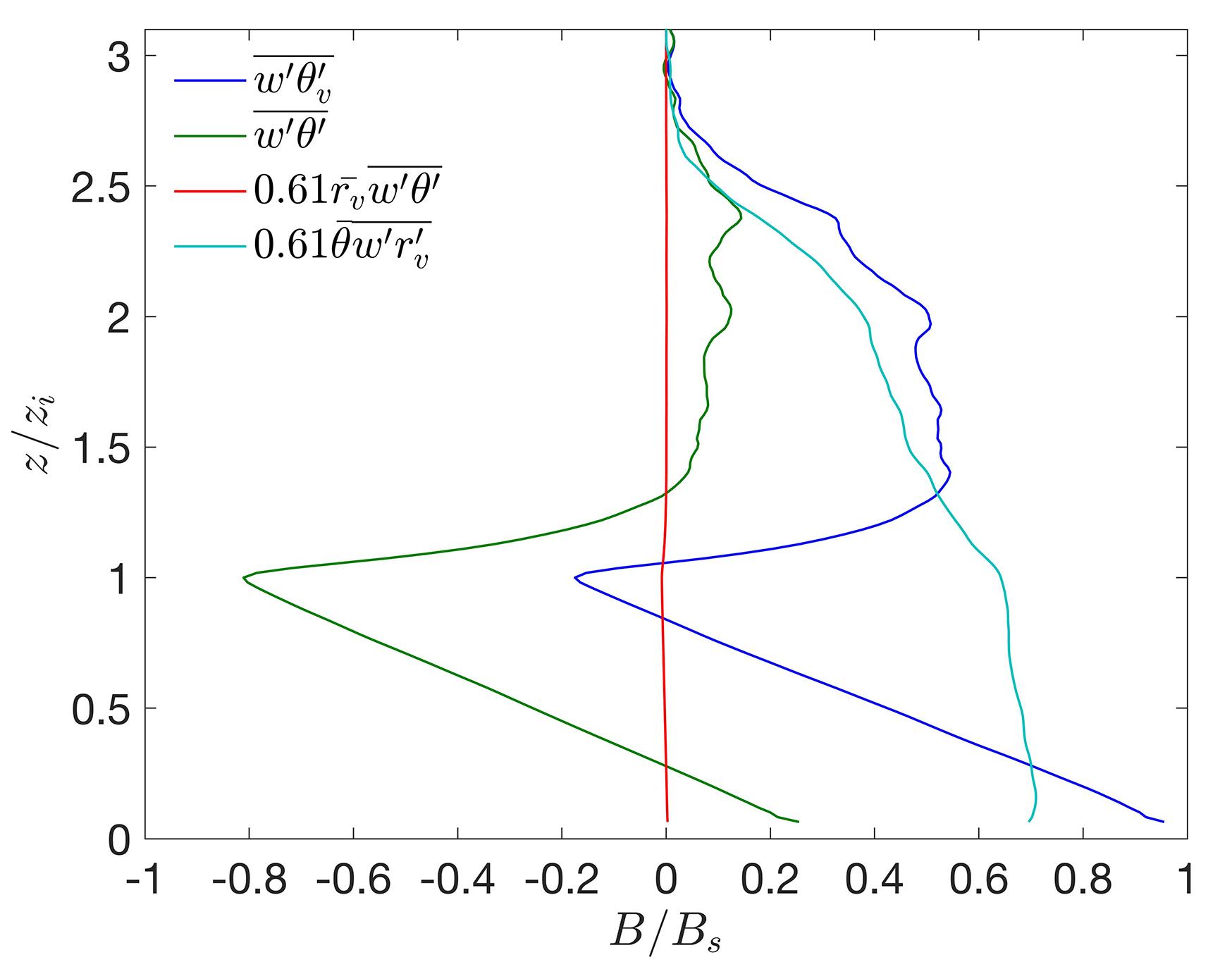
| 图2 海洋浅积云边界层中的垂直浮力通量及其组成分量的垂直廓线(数据源自对Barbados Oceanographic and Meteorological Experiment (BOMEX)个例的大涡模拟[ |
| Fig.2 Vertical profiles of the vertical buoyancy flux and its constituents in a typical shallow cumulus?topped boundary layer (Data is obtained from large?eddy simulation of the Barbados Oceanographic and Meteorological Experiment (BOMEX)[ |
|