超强台风“舒力基”(2021)的尺度可预报性 |
| 黄雨婧, 谈哲敏 |
|
On the size predictability of Super Typhoon Surigae (2021) |
| Yujing Huang, Zhemin Tan |
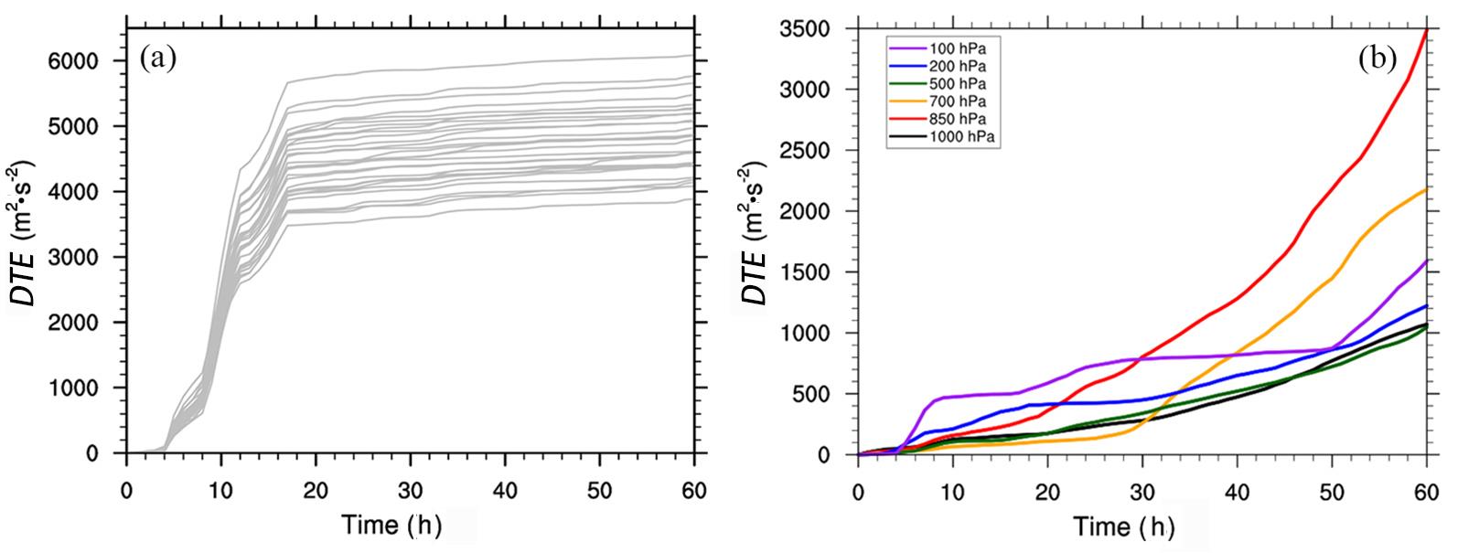
| 图6 (a)台风中心300 km范围所有成员整层的总能量偏差和(b)不同等压面上的总能量偏差(DTE)随时间的变化 ((a)为所有成员相对CTRL;(b)为集合平均相对CTRL) |
| Fig.6 (a) DTE of all ensemble members and (b) DTE on several levels within 300 km radius of the center evolution with time ((a) for all ensemble members to CTRL, and (b) for ensemble mean to CTRL) |
|