双重结构的最小二乘回归子空间聚类算法
卢桂馥, 汤荣, 姚亮

Double structure least squares regression subspace clustering
Guifu Lu, Rong Tang, Liang Yao
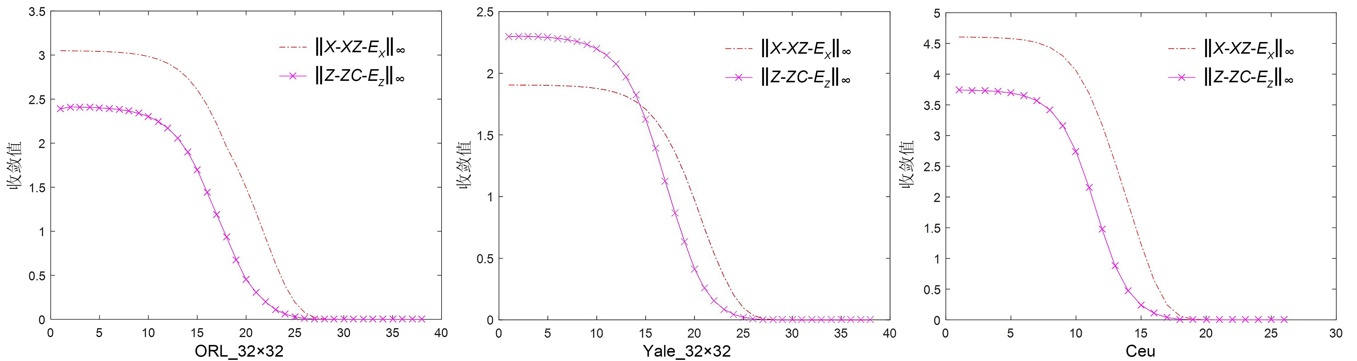
图7 DSLSR在三种数据集上的收敛曲线
Fig.7 Convergence curves of DSLSR on ORL,Yale and Ceu datasets