基于非线性Lamb波改进全聚焦成像的板中损伤分类与定位 |
| 徐旭, 张凡, 李义丰 |
|
Nonlinear Lamb wave⁃based damage classification and localization in plates using improved total focusing method |
| Xu Xu, Fan Zhang, Yifeng Li |
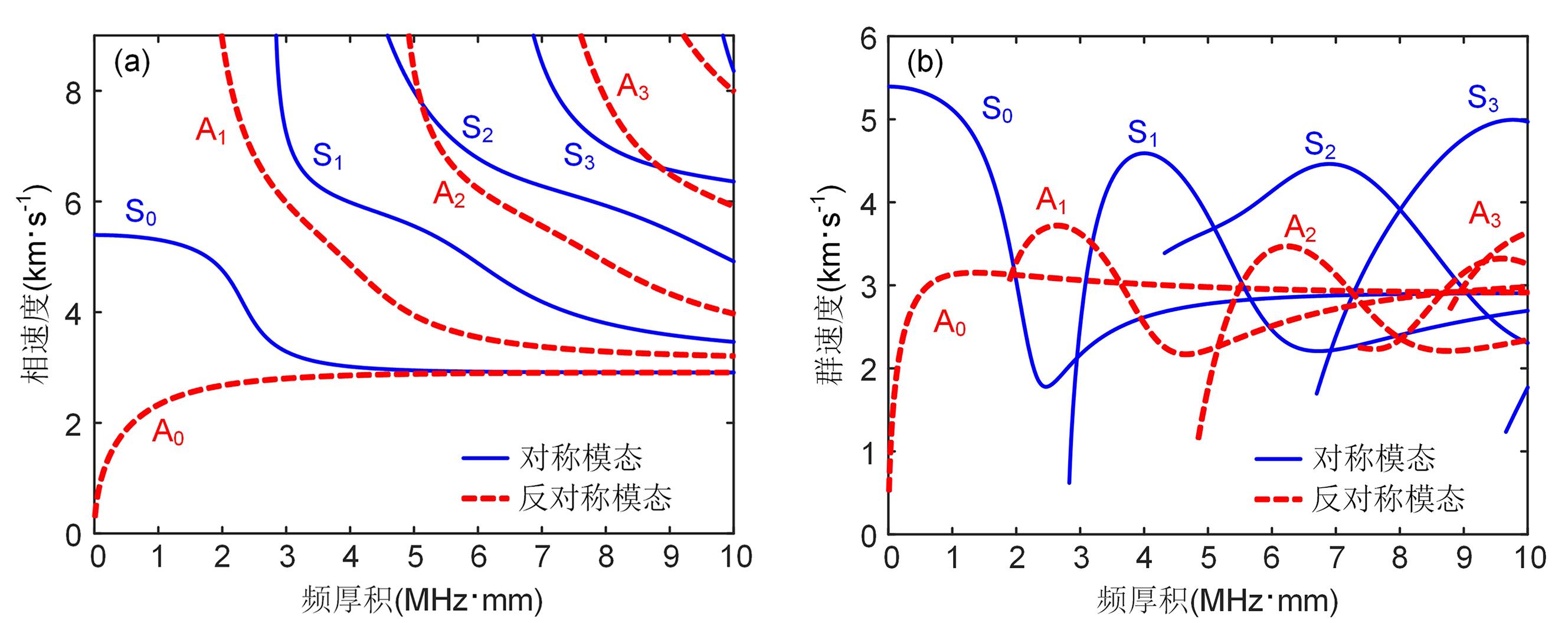
| 图3 Lamb波频散曲线:(a)相速度频散曲线;(b)群速度频散曲线 |
| Fig.3 Lamb wave dispersion curve:(a) phase velocity dispersion curve,(b) group velocity dispersion curve |
|