柠檬酸对土壤⁃柳树系统中Cd⁃芘污染生物有效性影响 |
| 邓林, 张娟娟, 谢探春, 王晓琳, 尹颖 |
|
Effects of citric acid on the bioavailability of Cd⁃pyrene contamination in soil⁃willow system |
| Lin Deng, Juanjuan Zhang, Tanchun Xie, Xiaolin Wang, Ying Yin |
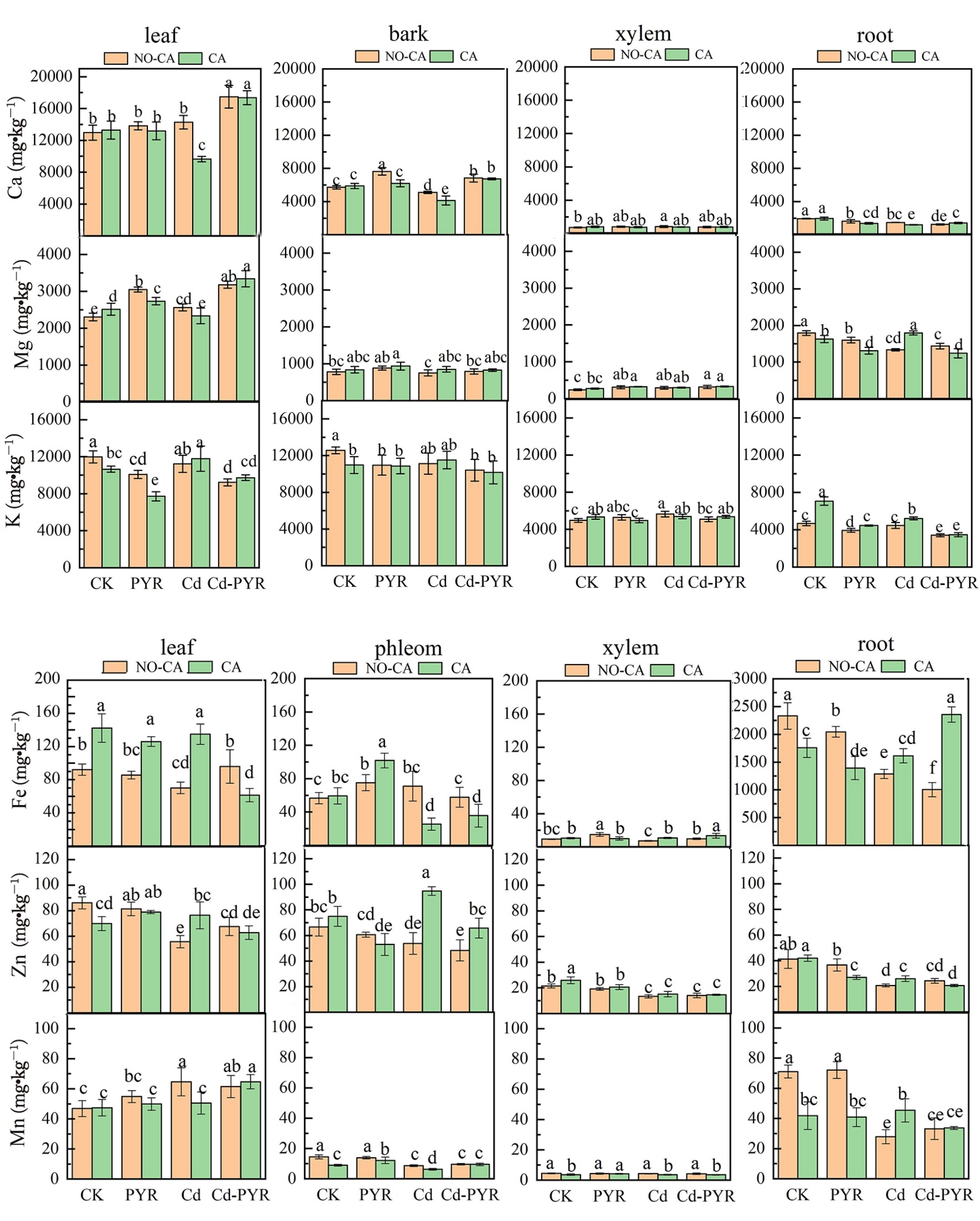
| 图7 柠檬酸对柳树不同部位营养元素的影响 n=4,不同字母表示显著差异,p<0.05,NO?CA表示未添加柠檬酸组;CA表示添加柠檬酸组 |
| Fig.7 Effects of citric acid on nutrient elements in different tissues of willow |
|