梯度扩散薄膜技术的理论及其在环境中的应用Ⅳ:元素形态选择性吸附胶的开发及应用 |
| 杨伊, 刘兆东, 方文, 罗军 |
|
Theory and application of diffusive gradients in thin⁃films in the environment Ⅳ: Development and application of selective binding gels for elements |
| Yi Yang, Zhaodong Liu, Wen Fang, Jun Luo |
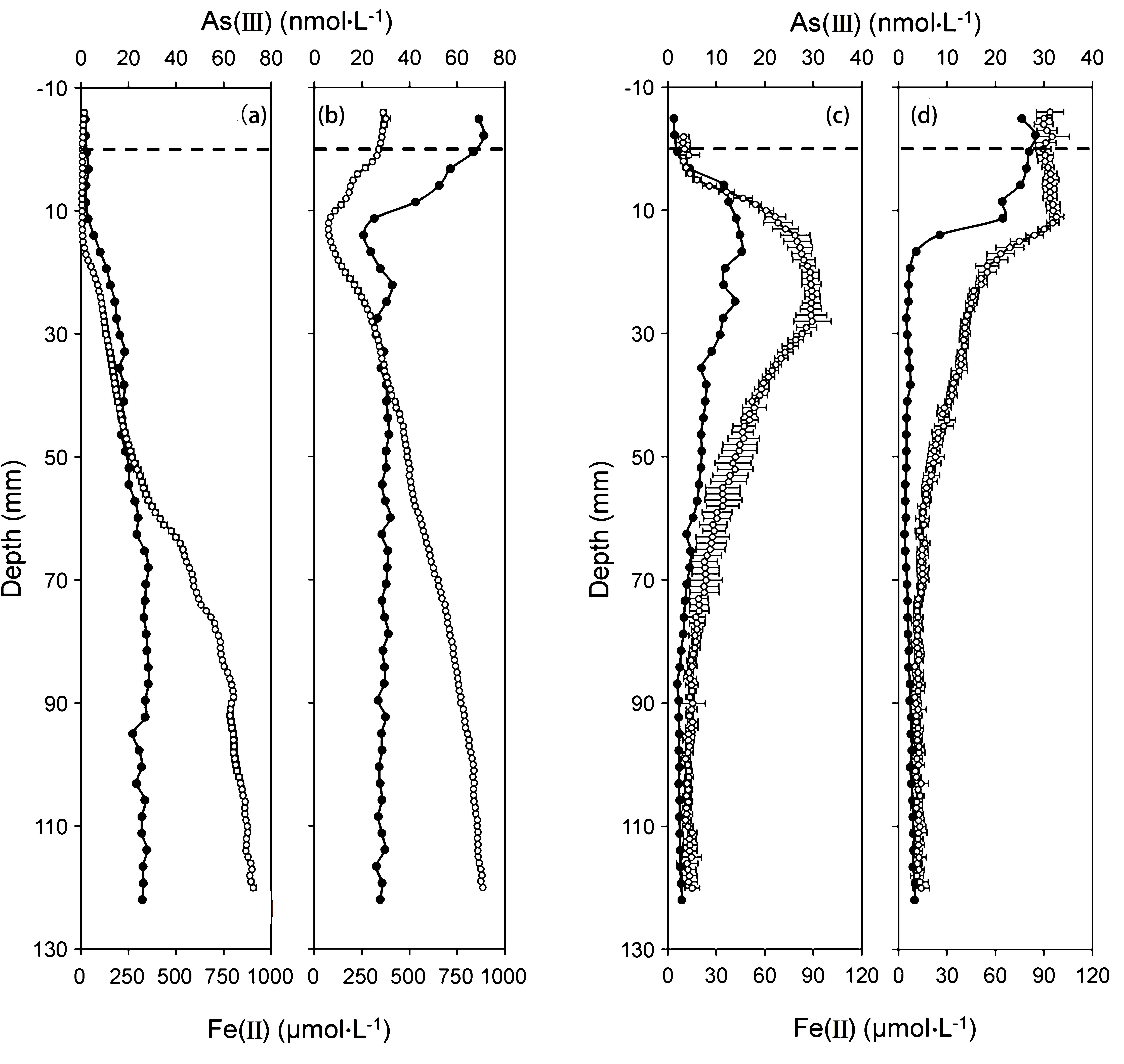
| 图2 缺氧条件下孔隙水中FeⅡ(○)和AsⅢ (●)浓度的共分布曲线,分别通过比色DET和mercapto?silica DGT在以上条件进行了测量[ (a) freshwater control,(b) freshwater treatment,(c) estuarine control,and (d) estuarine treatment |
| Fig.2 Co?distributed profiles of porewater Fe(Ⅱ) (○) and As(Ⅲ) (●) concentrations during anoxia, measured by colorimetric?DET and mercapto?silica DGT respectively for the above mesocosms[ |
|