求解非凸截断L 1⁃SVM的多阶段非精确线搜割平面方法 |
| 袁友宏,刘欣,鲍蕾 |
|
A multi⁃stage cutting plane method with inexact line search forsolving non⁃convex truncated L 1⁃SVMs |
| Youhong Yuan,Xin Liu,Lei Bao |
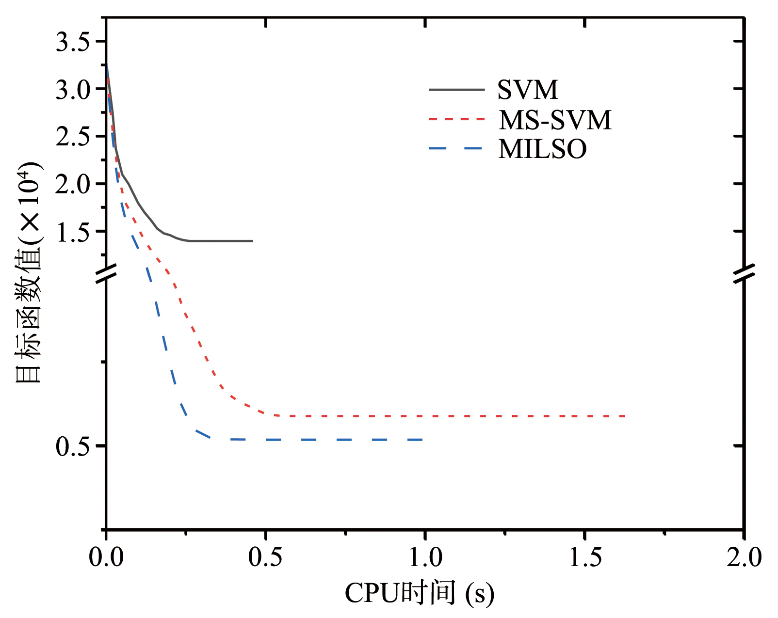
| 图9 三种算法在A9a上的收敛性 |
| Fig.9 Convergence of three algorithms on the A9a dataset |
|