蒙脱石层间阳离子交换的分子模拟 |
| 李勤,陆现彩,张立虎,程永贤,刘鑫 |
|
Molecular simulation of interlayer cation exchange of montmorillonite |
| Qin Li,Xiancai Lu,Lihu Zhang,Yongxian Cheng,Xin Liu |
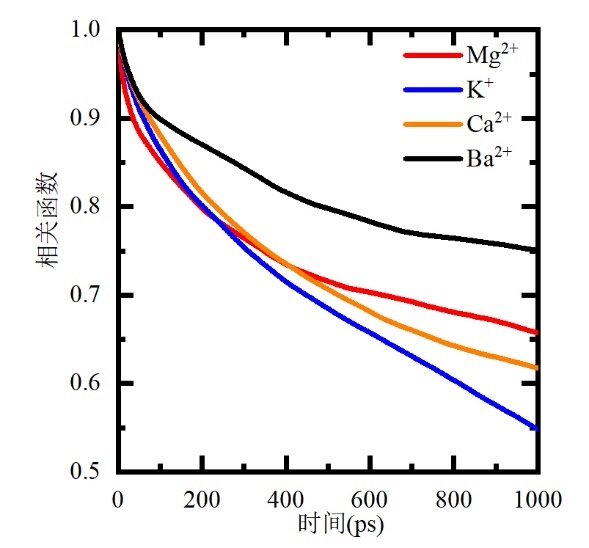
| 图3 蒙脱石层间阳离子的自相关函数 |
| Fig.3 Self?correlation function of the cations continually retain in the interlayer of montmorillonite |
|